产品编号:124P01
别名:H(-Arg-εAhx)6-Arg-OH, H-Arg-εAhx-Arg-εAhx-Arg-εAhx-Arg-εAhx-Arg-εAhx-Arg-εAhx-Arg-OH
CAS#: 457633-17-9
序列:H-Arg-ε-aminocaproyl-Arg-ε-aminocaproyl-Arg-ε-aminocaproyl-Arg-ε-aminocaproyl-Arg-ε-aminocaproyl-Arg-ε-aminocaproyl-Arg-OH
产品编号:124P02
别名:Hexaarginine, H(-Arg)6-OH
CAS#: 96337-25-6
序列:H-Arg-Arg-Arg-Arg-Arg-Arg-OH
产品编号:124P03
别名:Heptaarginine, H(-Arg)7-OH
CAS#: 165893-48-1
序列:H-Arg-Arg-Arg-Arg-Arg-Arg-Arg-OH
产品编号:124P04
别名:Nonaarginine, H(-Arg)9-OH, (Arg)9
CAS#: 143413-47-2
序列:H-Arg-Arg-Arg-Arg-Arg-Arg-Arg-Arg-Arg-OH
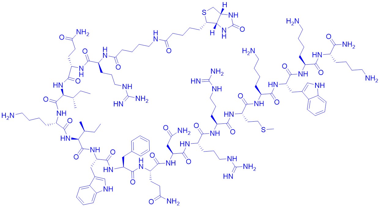
产品编号:124P05
别名:Biotinyl-5-aminopentanoyl-Antennapedia Homeobox Protein (43-58) amide (Drosophila melanogaster), Biotinyl-5-aminopentanoyl-Antp Homeobox (43-58) amide
CAS#: 179764-32-0
序列:Biotinyl-5-aminopentanoyl-Arg-Gln-Ile-Lys-Ile-Trp-Phe-Gln-Asn-Arg-Arg-Met-Lys-Trp-Lys-Lys-NH2
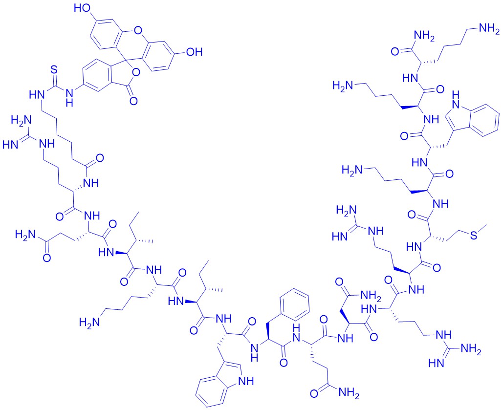
产品编号:124P06
CAS#: 762263-16-1
序列:H-Leu-Gly-Thr-Tyr-Thr-Gln-Asp-Phe-Asn-Lys-Phe-His-Thr-Phe-Pro-Gln-Thr-Ala-Ile-Gly-Val-Gly-Ala-Pro-OH
产品编号:124P07
别名:Cys(NPys)-Antennapedia Homeobox Protein (43-58) amide (Drosophila melanogaster), Cys(NPys)-Antp Homeobox (43-58) amide
CAS#: 220337-24-6
序列:H-Cys(NPys)-Arg-Gln-Ile-Lys-Ile-Trp-Phe-Gln-Asn-Arg-Arg-Met-Lys-Trp-Lys-Lys-NH2
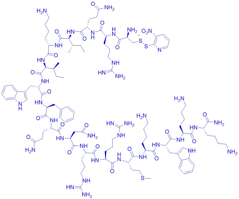
产品编号:124P08
别名:Cys(Npys)-(Arg)9
CAS#: 1417221-06-7
序列:H-Cys(NPys)-Arg-Arg-Arg-Arg-Arg-Arg-Arg-Arg-Arg-NH2
产品编号:124P09
别名:Cys(Npys)-(D-Arg)9
CAS#: 1676104-79-2
序列:H-Cys(NPys)-D-Arg-D-Arg-D-Arg-D-Arg-D-Arg-D-Arg-D-Arg-D-Arg-D-Arg-NH2
产品编号:124P10
别名:FITC-εAhx-Antennapedia Homeobox Protein (43-58) amide (Drosophila melanogaster), FITC-εAhx-Antp Homeobox (43-58) amide
CAS#: 1118750-35-8
序列:FITC-εAhx-Arg-Gln-Ile-Lys-Ile-Trp-Phe-Gln-Asn-Arg-Arg-Met-Lys-Trp-Lys-Lys-NH2
产品编号:124P11
别名:Pulmonary Surfactant Model Peptide
CAS#: 177942-21-1
序列:H-Lys-Leu-Leu-Lys-Leu-Leu-Leu-Lys-Leu-Trp-Leu-Lys-Leu-Leu-Lys-Leu-Leu-Leu-OH
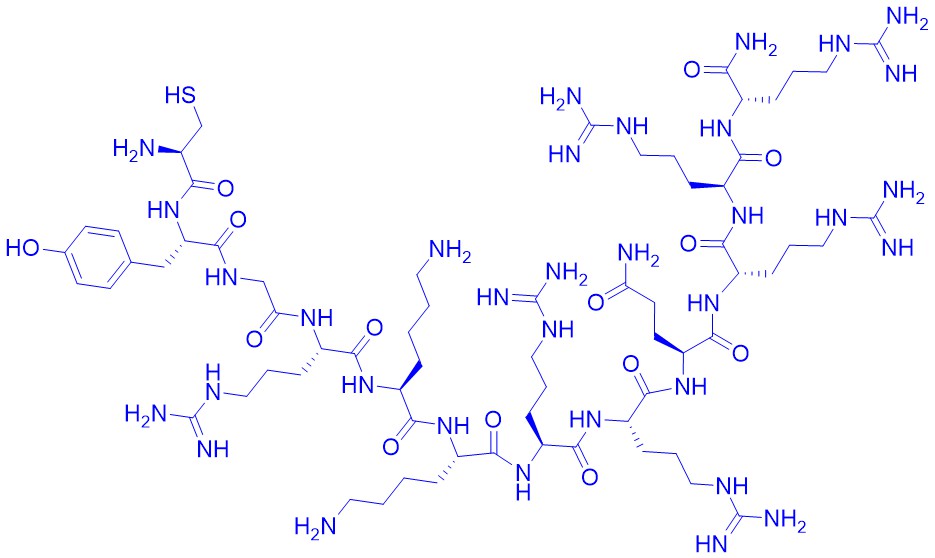
产品编号:124P12
CAS#: 583836-55-9
序列:H-Cys-Tyr-Gly-Arg-Lys-Lys-Arg-Arg-Gln-Arg-Arg-Arg-NH2